SSC CGL & MTS Quiz : Quantitative Aptitude | 25-07-2021
Dear Readers,
As SSC CGL & MTS notification is out and candidates have started their preparation for this exam. Mahendras also has started special quizzes for this examination. This series of quizzes are based on the latest pattern of the SSC CGL & MTS examination. Regular practice of the questions included in the quizzes will boost up your preparations and it will be very helpful in scoring good marks in the examination.
Q. 1. If A and B together can do a piece of work in 6 days and A alone can do the same piece of work in 8 days. Find the time taken by B to complete this work.
यदि A और B एकसाथ मिलकर एक कार्य को 6 दिनों में कर सकते हैं और A अकेला उसी कार्य को 8 दिनों में कर सकता है | B द्वारा इस कार्य को पूरा करने में लिए गए दिनों की संख्या है
(A) 12 days/ दिन
(B) 10 days/ दिन
(C) 24 days/ दिन
(D) 8 days/ दिन
Q. 2. A train running at the speed of 15 m/s takes 20 seconds to pass a man running at the speed of 5 m/s in the same direction. Find the length of the train.
15 मी/से. की चाल से चल रही एक ट्रेन अपनी ही दिशा में 5 मी/से. की चाल से जा रहे एक आदमी को 20 सेकेण्ड में पार करती है | ट्रेन की लम्बाई ज्ञात कीजिये |
(A) 100 meters/ मीटर
(B) 200 meters/ मीटर
(C) 250 meters/ मीटर
(D) 400 meters/ मीटर
Q. 3. If the perimeter of a right angled triangle is 56 cm and area of the triangle is 84 sq. cm, then the length of the hypotenuse is
एक समकोण त्रिभुज का परिमाप 56 सेमी. है और त्रिभुज का क्षेत्रफल 84 वर्ग सेमी. है, तो कर्ण की लम्बाई है
(A) 7 cm. / सेमी.
(B) 24 cm. / सेमी.
(C) 25 cm. / सेमी.
(D) 50 cm. / सेमी.
Q. 4. The length of a room floor exceeds its breadth by 20 m. The area of the floor remains unaltered when the length is increased by 10 m but the breadth is increased by 5 m. The area of the floor (in square meters) is
एक कमरे की लम्बाई इसकी चौड़ाई से 20 मी. अधिक है | फर्श का क्षेत्रफल अपरिवर्तित रहता है जब इसकी लम्बाई में 10 मी. की वृद्धि की जाती है और इसकी चौड़ाई में 5 मी. की वृद्धि की जाती है | फर्श का क्षेत्रफल (वर्ग मीटर में) है
(A) 300
(B) 325
(C) 280
(D) 420
Q. 5. If 2m – 1 + 21 + m = 40, then what is value of m?
यदि 2m – 1 + 21 + m = 40 तो m का मान क्या है?
(A) 4
(B) 0
(C) 3
(D) 6
Q. 6. What is the value of 162 + 172 + 182 + ……. 252?
162 + 172 + 182 + ……. 252 का मान क्या है?
(A) 2325
(B) 2465
(C) 2105
(D) 2070
Q. 7. How many times digit '5' appears in the numbers from 1 to 100?
1 से 100 तक की संख्या में कितनी बार अंक '5' आता है?
(A) 20
(B) 21
(C) 19
(D) 18
Q. 8. What is the unit digit of 5124 × 1245?
5124 × 1245में इकाई का अंक क्या है?
(A) 5
(B) 1
(C) 0
(D) 2
Q. 9. What is the value of [(a−2 b3) ÷ (a1 b−1)] × [(a2 b−4) ÷ (a−1 b2)]?
[(a−2 b3) ÷ (a1 b−1)] × [(a2 b−4) ÷ (a−1 b2)]का मान क्या है?
(A) b2
(B) 1/b2
(C) a2
(D) a2 b2
Q. 10. Which of the following number is divisible by 11?
निम्नलिखित में से कौन सी संख्या 11 से विभाज्य है?
(A) 44433
(B) 45332
(C) 23581
(D) 59609
Answer key:
1. Sol. (C)
(A) 44433
(B) 45332
(C) 23581
(D) 59609
Answer key:
1. Sol. (C)
A + B … 6 4 units of work/day/कार्य की इकाई/दिन
[L.C.M. of 6 and 8/6 और 8 का ल.स.म. = 24]
A … 8 3 units of work/day/कार्य की इकाई/दिन
Time taken by B to complete the work/ B द्वारा इस कार्य को पूरा करने में लिया गया समय
= 24 ÷ (4 – 3) = 24 days/दिन
2. Sol. (B)
[x/ (15 – 5)] = 20
x = 20 × 10 = 200 meters/ मीटर
3. Sol. (C)
We know that/हम जानते हैं,
(1/2) × base/ आधार × height/ ऊँचाई = 84 … (I)
base/ आधार × height/ ऊँचाई = 168
and/और, Base/ आधार + / ऊँचाई + Hypotenuse/कर्ण = 56 … (II)
Now, taking all the possible multiples of 168 which satisfies (II) and also Pythagoras theorem, we get
अब, 168 के सभी संभव गुणजों को लेकर जोकि समीकरण (II) को और पाइथागोरस प्रमेय को संतुष्ट करते हैं, हम प्राप्त करते हैं
Hypotenuse/कर्ण = 25 cm. / सेमी.
4. Sol. (A)
Breadth/ चौड़ाई = x
Length/लम्बाई = x + 20
According to the question/प्रश्नानुसार,
(x + 30) × (x + 5) = x(x + 20)
x2 + 35x + 150 = x2 + 20x
15x = 150
x = 10
Area of the floor/फर्श का क्षेत्रफल = 10 × 30 = 300 m.2/ मी.2
5. Sol. (A)
2m – 1 + 21 + m = 40
2m – 1 + 2 × 2m = 40
2m – 1 = 8
m = 4
6. Sol. (D)
Expression/ व्यंजक: 162 + 172 + 182 + ……. 252
The above series is an A.P. with first term a, last term l, and common difference is d/ उपरोक्त सीरीज़ समांतर श्रेणी है जिसमें पहला पद a, अंतिम पद l, और सार्वअंतर d है ।
Let number of terms be/ माना पदों की संख्या = n
=> Last term/ अंतिम पद = l = a + (n − 1)d
=> 162 + (n − 1)10 = 252
=> (n − 1)10 = 252 – 162
=> (n − 1) = 10 = 90/10 = 9
=> n = 9 + 1 = 10
Sum of A.P./ समांतर श्रेणी का योग = (n/2) (a + l)
= (10/2)(162+252)
= 5 × 414 = 2070
7. Sol. (A)
1 digit numbers/1 अंक की संख्या: 0 – 9, => '5' appears only once/'5' केवल एक बार दिखाई देता है = 1
2 digit numbers/2 अंक की संख्या: 10 – 99, => Numbers with '5' at ten's place/ दहाई के स्थान पर '5' के साथ संख्या = 10 (50 – 59)
Numbers with '5' at unit's place/ इकाई के स्थान पर '5' के साथ संख्या = 9 (15, 25, ...., 95)
=> Total number of times digit '5' appears in the number from 1 to 100/1 से 100 की संख्या कुल अंकों की संख्या जिसमें अंक '5' दिखाई देता है = 1 + 10 + 9 = 20
8. Sol. (C)
Expression/ व्यंजक: 5124 × 1245
Unit digit of the above numbers is equal to the product of unit digits of each number/ उपरोक्त संख्याओं का इकाई अंक प्रत्येक संख्या के इकाई अंकों के गुणनफल के बराबर है
= 4 × 5 = 0
Thus, the unit digit of 5124 × 1245 = 0
इस प्रकार, 5124 × 1245 = 0 का इकाई अंक
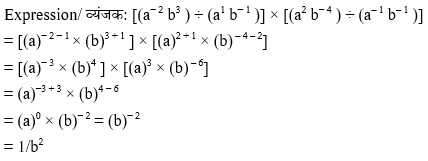
9. Sol. (B)
If the positive difference between the sum of even digits and odd digits (starting from unit's place) is divisible by 11, then the number is also divisible by 11.
यदि सम अंकों और विषम अंकों के योग में सकारात्मक अंतर (इकाई के स्थान से शुरू) 11 से विभाज्य है, तो संख्या भी 11 से विभाज्य है।
(A): 44433 = (3 + 4 + 4) − (3 + 4) = 11 − 7 = 4
(B): 45332 = (2 + 3 + 4) − (3 + 5) = 9 − 8 = 1
(C): 23581 = (1 + 5 + 2) − (8 + 3) = 8 − 11 = 3
(D): 59609 = (9 + 6 + 5) − (0 + 9) = 20 − 9 = 11
In the above numbers, only in the last option, 11 is divisible by 11, hence 59609 is divisible by 11.
उपरोक्त संख्याओं में, केवल अंतिम विकल्प में, 11, 11 से विभाज्य है, इसलिए 59609, 11 से विभाज्य है।

Post a Comment for "SSC CGL & MTS Quiz : Quantitative Aptitude | 25-07-2021"